Agathe
|
Help
Result
222
of
300
Filters & Options
Show
Everything
(383,729)
Publications
(2,254)
Reports
(96)
Places and Monuments
(77)
Plans and Drawings
(11,611)
Images
(155,270)
Objects
(47,254)
Coins
(4,632)
Deposits
(1,765)
Notebooks
(306)
More
View as
List
Icons
Table
Map
References
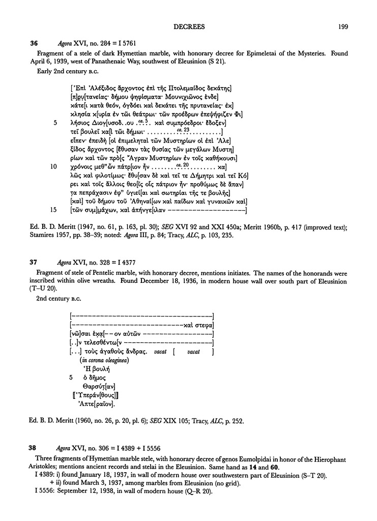
All References
(5)
Publication: Agora XXXI
Objects
(4)
Plot on
Map
Google Earth
Sign in
Provide feedback
Anything not working? Typos? Let us know.
Publication Page: Agora 31, s. 222, p. 199